
Easily find issues by searching: #<Issue ID>
Example: #1832
Easily find members by searching in: <username>, <first name> and <last name>.
Example: Search smith, will return results smith and adamsmith
Aqua Data Studio / nhilam |
Follow
829
|
|
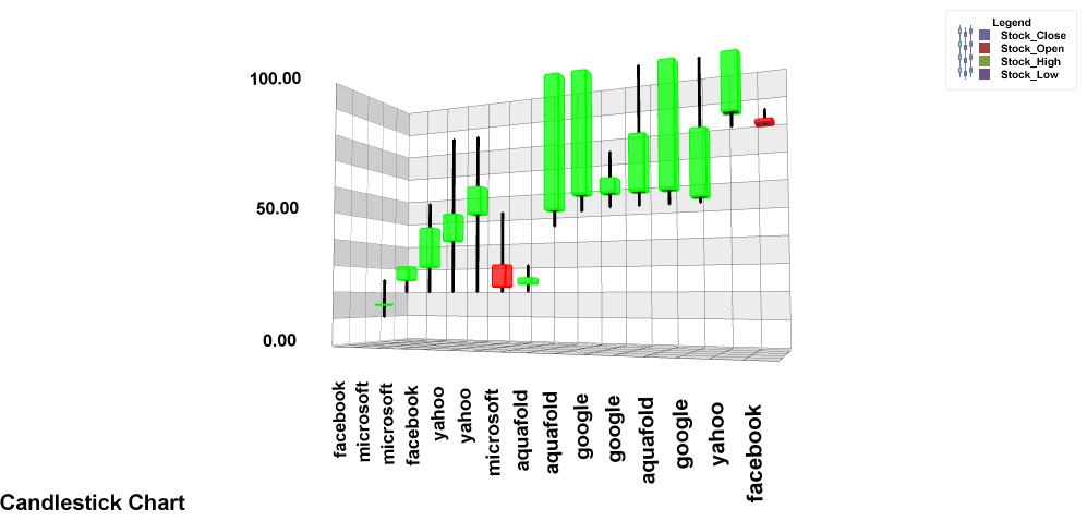
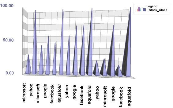
The Charting tools in Aqua Data Studio are for Business Analysts and Developers who want to analyse trends in stocks or get a dynamic view of data. The features include support for Candlestick, High Low Close, Bubble, Scatter, Surface, Stacked, Area, Pie, Bar, Column, Line and Map Charts. The Function Series introduced in Aqua Data Studio are a special series that makes use of other data series for their data values. You can select any of the function series to be combined with the standard chart types already available in ADS. It also includes support for 2D and 3D coordinate systems. Advanced options to Merge Series and Scripting charts for reuse are also available. Features of Charting Tools
GRID and PIVOT GRID with charts in Aqua Data Studio
Grid and Pivot Grid feature can be invoked in the Query Analyzer to create a variety of Charts to represent the data in tables. Features in ADS for complex charting help minimizing the development cycle. For more on Grid Charts and Pivot Grid Charts, see the Working with Grids and Pivot Grids section. Types of Charts available in ADS Below are the charts which Aqua Data Studio Can generate. All of these can be built from direct quiries to any of the databases which Aqua Data Studio can connect to.
|
|
|
|
|
|
|
|
|
|
|
|
|
|
|
|
|
|
|
|
|
|
|
|
|
|
|
|
|
|
|
|
|
|
|
|
|
|
|
|
|
|
|
|
|
|
|
|
|
|
|
|
|
|
|
|
|
|
|
|
|
|
|
|
|
|
|
|
|
|
|
|
|
|
|
|
|
|
|
|
|
|
|
|
|
|
|
|
|
|
|
|
|
|
|
|
|
|
|
|
|
|
|
|
|
|
|
|
|
About AquaClusters Privacy Policy Support Version - 19.0.2-4 AquaFold, Inc Copyright © 2007-2017