
Easily find issues by searching: #<Issue ID>
Example: #1832
Easily find members by searching in: <username>, <first name> and <last name>.
Example: Search smith, will return results smith and adamsmith
Aqua Data Studio / nhilam |
Follow
829
|
|
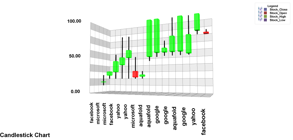
Aqua Data Studio's Enhanced Charts include OHLC (open-high-low-close) charts, Candlestick charts, Bubble charts, Stacked charts, Scatter charts and Map charts. Chart Functions include Addition, Subtraction, Scalar, Power, Log, Linear Regression and Moving Average. Column Shape Type includes support for Cylinder, Cone & Pyramid versions of all Column & Bar charts are available.
Working with Candlestick Charts Candlestick charts can be effectively used in Aqua Data Studio to plot data-driven charts.
Working with Open-high-low-close Chart
A bubble chart is a two-dimensional scatterplot where a third variable is represented by the size of the points.
Working with Stacked Area Charts
A stacked area chart is used to map multiple series over different categories like time.
Working with Scatter Line Charts
The scatter line chart in Aqua Data Studio allows you to create a chart with two value axes to show one set of numerical data along a horizontal axis and another set of numerical values along a vertical axis.
Working with Stacked Bar Chart
The Stacked Bar chart in Aqua Data Studio allows you to create a chart displaying the results of multiple queries stacked on top of each other vertically.
Working with Scatter Charts
The scatter chart in Aqua Data Studio allows you to create a chart showing one piece of information, such as stock value along the x-axis and another piece of information such as Company, along the y-axis. A scatter chart is used to map correlation between sets of numbers.
Working with Map Charts
The map chart in Aqua Data Studio presents a flat world map with country outlines. Chart Options for Map include the ability to show country details (population, currency, and area in square units) and a low resolution satellite view background image. To use the Map Chart Type, ensure that your query contains a column with country values. We support country names & country codes as specified in the ISO2, ISO3, GMI & FIPS specifications. For more on the country codes and names used in Aqua Data Studio, see the country codes list.
For example, if your resultset contains these rows:
then your Map will have 2 highlighted countries and the values displayed for France and United States will be 600 and 900, respectively. You can also specify your own color coding scheme for map highlighting. To do this, go to the Chart Options menu. For the Map Ranges parameter, specify "0,700,1000" then 2 ranges are created:
[0, 700) ==> from 0 inclusive to 700 exclusive You can then specify the highlight color for each range by filling in the Map Range Colors attribute. For our example, "green,blue". So in our map, France will be highlighted in green and United States in blue. |
|
|
|
|
|
|
|
|
|
|
|
|
|
|
|
|
|
|
|
|
|
|
|
|
|
|
|
|
|
|
|
|
|
|
|
|
|
|
|
|
|
|
|
|
|
|
|
|
|
|
|
|
|
|
|
|
|
|
About AquaClusters Privacy Policy Support Version - 19.0.2-4 AquaFold, Inc Copyright © 2007-2017