
Easily find issues by searching: #<Issue ID>
Example: #1832
Easily find members by searching in: <username>, <first name> and <last name>.
Example: Search smith, will return results smith and adamsmith
Aqua Data Studio / nhilam |
Follow
829
|
Feature Overview
| 3D High Low Close | 3D Candlestick | Moving Average + Stack | New Functions |
| Cone |
Pyramid |
Cylinder | Exploded Pie |
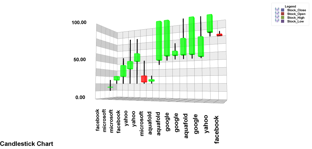
Working with Candlestick Charts
Candlestick charts can be effectively used in Aqua Data Studio 7.5 to plot data-driven charts.
| |
| Candlestick Chart |
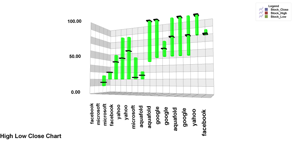
Working with High-low-close Chart
| Open-high-close Chart |
| Bubble Chart |
A bubble chart is a two-dimensional scatterplot where a third variable is represented by the size of the points.
Working with Stacked Area Charts
| Stacked Area Chart |
A stacked area chart is used to map multiple series over different categories like time.
Working with Scatter Line Charts
| Scatter Line Chart |
The scatter line chart in Aqua Data Studio 7.5 allows you to create a chart with two value axes to show one set of numerical data along a horizontal axis and another set of numerical values along a vertical axis.
Working with Stacked Bar Chart
| Stacked bar Chart |
The Stacked Bar chart in Aqua Data Studio 7.5 allows you to create a chart displaying the results of multiple queries stacked on top of each other vertically.
Working with Scatter Charts
| Scatter Chart |
The scatter chart in Aqua Data Studio 7.5 allows you to create a chart showing one piece of information, such as stock value along the x-axis and another piece of information such as Company, along the y-axis. A scatter chart is used to map correlation between sets of numbers.
|
|
|
|
|
|
|
|
|
|
|
|
|
|
|
|
|
|
|
|
|
|
|
|
|
|
|
|
|
|
|
|
About AquaClusters Privacy Policy Support Version - 19.0.2-4 AquaFold, Inc Copyright © 2007-2017