One use case for this is to be able to support row/index numbers in a "non-messy" way. Please see index.png. Note that the index numbers are repeated for each year, which is not desirable. The desirable behavior in this scenario is that the index numbers should appear as part of the Row Headers. The behavior of a Discrete Measure field is that it will be part of the Row/Column Headers, while retaining the values as a measure field. The position of a discrete field can be mixed with other discrete fields.
If we implement this issue, then Issue #15246 will no longer be necessary.
Design / Implementation:
|
|
111 KB
|
|
414 KB
|
|
126 KB
|
|
126 KB
|
|
101 KB
|
|
125 KB
|
|
17 KB
|
|
47 KB
|
|
53 KB
|
|
46 KB
|
|
68 KB
|
|
296 KB
|
|
69 KB
|
|
72 KB
|
|
34 KB
|
|
20 KB
|
|
51 KB
|
|
42 KB
|
|
43 KB
|
|
53 KB
|
|
57 KB
|
|
76 KB
|
|
86 KB
|
|
51 KB
|
|
51 KB
|
|
57 KB
|
|
61 KB
|
|
94 KB
|
|
8 KB
|
|
29 KB
|
|
6 KB
|
|
8 KB
|
|
19 KB
Hi Pankaj / Komal,
The approach in your code changes is incorrect. A measure field should always be added to the pivot table as AREA_DATA regardless of whether it is continuous or discrete. The reason is that measure fields must be aggregated. Thus the difference between continuous and discrete measure fields is how we interpret the resulting pivot table data.
The pivot table results contain 3 components, which provides the data to render the table or chart as follows:
| Column Headers
--------------+----------------------
Row Headers |
| Data Area
|
|
Normally the result of the measure fields are placed in the DataTableModel because they were always Continuous. For a Discrete measure field, we need to place its results in the RowHeaderTableModel or ColumnHeaderTableModel depending on whether it is in the Rows or Columns deck.
Thus you need to update BIDataTableModel, BIRowHeaderTableModel, and BIColumnHeaderTableModel classes to properly interpret the Discrete Measure Field. For Table mode, the ExtraRowHeaderTableModel class is used for the column header table model. For Chart mode, the data table model is represented by the BIChartsDataTableModel class hierarchy, which has complicated business logic; so you'll need to debug this in detail in order to properly understand how it works. You should get the Table mode working first before attempting the Chart mode.
Hi Pankaj / Komal,
The approach in your code changes is incorrect. A measure field should always be added to the pivot table as AREA_DATA regardless of whether it is continuous or discrete. The reason is that measure fields must be aggregated. Thus the difference between continuous and discrete measure fields is how we interpret the resulting pivot table data.
The pivot table results contain 3 components, which provides the data to render the table or chart as follows:
| Column Headers
--------------+----------------------
Row Headers |
| Data Area
|
|
Normally the result of the measure fields are placed in the DataTableModel because they were always Continuous. For a Discrete measure field, we need to place its results in the RowHeaderTableModel or ColumnHeaderTableModel depending on whether it is in the Rows or Columns deck.
Thus you need to update BIDataTableModel, BIRowHeaderTableModel, and BIColumnHeaderTableModel classes to properly interpret the Discrete Measure Field. For Table mode, the ExtraRowHeaderTableModel class is used for the column header table model. For Chart mode, the data table model is represented by the BIChartsDataTableModel class hierarchy, which has complicated business logic; so you'll need to debug this in detail in order to properly understand how it works. You should get the Table mode working first before attempting the Chart mode.
I've added some commented out debug code in BIModel to print the content of the pivot table results. You can uncomment the code to enable this debugging. Search for BIDebugUtil.
I've added some commented out debug code in BIModel to print the content of the pivot table results. You can uncomment the code to enable this debugging. Search for BIDebugUtil.
The following scenarios are NOT added scope. They are test scenarios to help validate the implementation.
Scenario 1:
Scenario 2:
Scenario 3:
Scenario 4:
Scenario 5:
Scenario 6:
Scenario 7:
The following scenarios are NOT added scope. They are test scenarios to help validate the implementation.
Scenario 1:
Scenario 2:
Scenario 3:
Scenario 4:
Scenario 5:
Scenario 6:
Scenario 7:
The following are test scenarios to help validate the implementation for charts mode.
Scenario 1:
Scenario 2:
Scenario 3:
Scenario 4:
Scenario 5:
Scenario 6:
Scenario 7:
The following are test scenarios to help validate the implementation for charts mode.
Scenario 1:
Scenario 2:
Scenario 3:
Scenario 4:
Scenario 5:
Scenario 6:
Scenario 7:
Functional Review of patch:
New test scenario:
Functional Review of patch:
New test scenario:
More test scenarios for charts
Scenario 1:
Scenario 2:
More test scenarios for charts
Scenario 1:
Scenario 2:
Functional Review for Monday's patch:
Functional Review for Monday's patch:
Hi Nhi,
The implementation of all scenarios mentioned by Nhi except following couple of items:
Hi Nhi,
The implementation of all scenarios mentioned by Nhi except following couple of items:
The following sorting scenarios are broken due to this issue implementation:
Scenario A1:
Scenario A2:
Scenario A3:
Scenario A4:
Scenario A5:
Scenario A6:
Scenario A7:
The following sorting scenarios are broken due to this issue implementation:
Scenario A1:
Scenario A2:
Scenario A3:
Scenario A4:
Scenario A5:
Scenario A6:
Scenario A7:
From Kunal:
Hi Nhi, Hi Thomas,
The latest changes (dev-68) are committed to SVN repository. Today’s commit include #15442 Charts implementation and scenario #7 (partial) implementation.
Pending items :
Could you please trigger a new build, so that the QA can test the things which are implemented so far.
Please let me know if you have any question/concern.
Thanks
Kunal
From Kunal:
Hi Nhi, Hi Thomas,
The latest changes (dev-68) are committed to SVN repository. Today’s commit include #15442 Charts implementation and scenario #7 (partial) implementation.
Pending items :
Could you please trigger a new build, so that the QA can test the things which are implemented so far.
Please let me know if you have any question/concern.
Thanks
Kunal
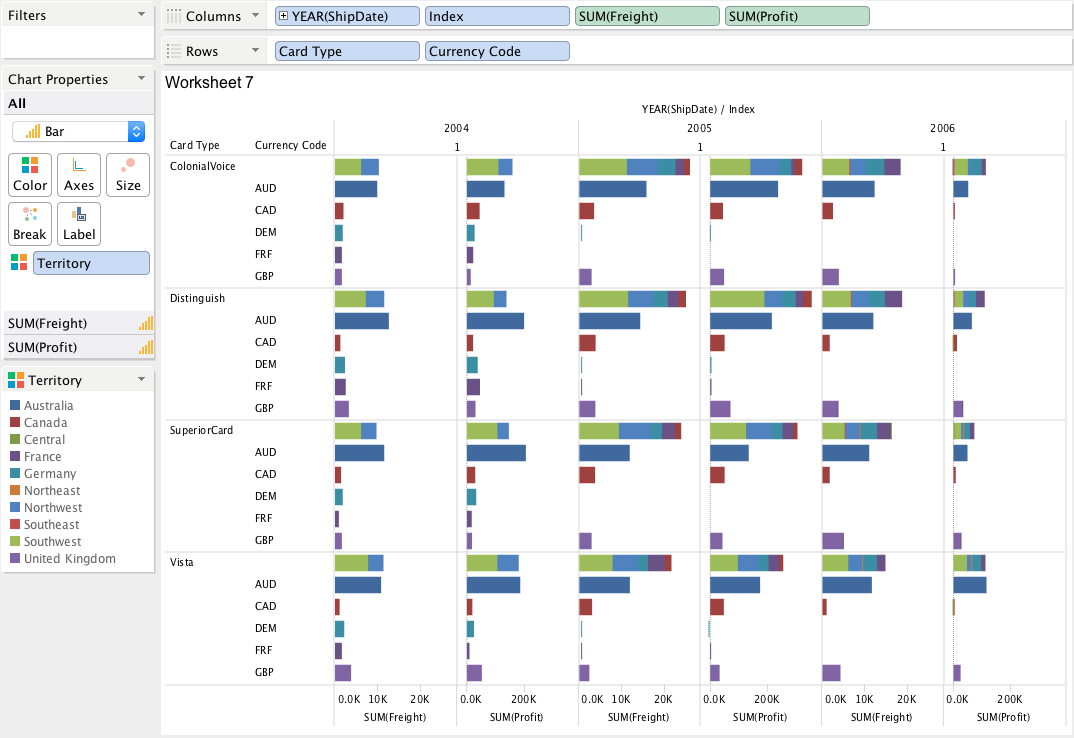
The 2 scenarios here are not working. The measure names color legend contain 3 entries, and each bar contains 3 segments, which is incorrect. Since one measure is converted to Discrete, there should only be 2 entries in the color legend, and 2 segments per bar.
The following scenarios are broken:
Scenario B1:
Scenario B2:
Scenario B3:
Scenario B4:
Scenario B5:
Scenario B6:
Scenario B7:
Scenario B8:
Scenario B9:
Scenario B10:
The 2 scenarios here are not working. The measure names color legend contain 3 entries, and each bar contains 3 segments, which is incorrect. Since one measure is converted to Discrete, there should only be 2 entries in the color legend, and 2 segments per bar.
The following scenarios are broken:
Scenario B1:
Scenario B2:
Scenario B3:
Scenario B4:
Scenario B5:
Scenario B6:
Scenario B7:
Scenario B8:
Scenario B9:
Scenario B10:
From Kunal:
Hi Nhi, Hi Thomas,
The latest code (dev-69) is checked in. Below items are fixed ,however the QA could not test that. So could you please trigger a new build and share with us?
Pending items:
We are targeting the RC for 15th Nov, unless we fall into any issues from QA and unit testing against any scenario.
Please let me know if you have any question/concern.
Thanks
Kunal
From Kunal:
Hi Nhi, Hi Thomas,
The latest code (dev-69) is checked in. Below items are fixed ,however the QA could not test that. So could you please trigger a new build and share with us?
Pending items:
We are targeting the RC for 15th Nov, unless we fall into any issues from QA and unit testing against any scenario.
Please let me know if you have any question/concern.
Thanks
Kunal
Functional Review:
Most of the scenarios here are not fixed.
More broken scenarios:
Scenario C1:
Scenario C2:
Scenario C3:
Scenario C4:
Scenario C5:
Scenario C6:
Scenario C7:
Scenario C8:
Scenario C9:
Functional Review:
Most of the scenarios here are not fixed.
More broken scenarios:
Scenario C1:
Scenario C2:
Scenario C3:
Scenario C4:
Scenario C5:
Scenario C6:
Scenario C7:
Scenario C8:
Scenario C9:
Code Review:
Please refactor out the complicated business logic involving loops in the following methods. Those logic should be done in an initialization method, rather than performing those logic every time these methods are invoked. As is, these methods are extremely inefficient, and these methods are invoked in many operations.
Code Review:
Please refactor out the complicated business logic involving loops in the following methods. Those logic should be done in an initialization method, rather than performing those logic every time these methods are invoked. As is, these methods are extremely inefficient, and these methods are invoked in many operations.
Functional Review of Dev-70
Functional Review of Dev-70
The following are new breakages:
The following are new breakages:
I am observing the following breakages:
Scenario D1:
Scenario D2:
Scenario D3:
I am observing the following breakages:
Scenario D1:
Scenario D2:
Scenario D3:
I've attached highlight-fix.patch, which addresses some of the code review concerns here, and removes some complicated code logic. It should also fix many (but not all) of the highlighting related scenarios.
Please review it. If it doesn't introduce any new breakages, then you may check it in.
I've attached highlight-fix.patch, which addresses some of the code review concerns here, and removes some complicated code logic. It should also fix many (but not all) of the highlighting related scenarios.
Please review it. If it doesn't introduce any new breakages, then you may check it in.
Done testing of all the above scenarios and did thorough testing to make sure the feature is working as expected.
Hence, marking it verified.
Thanks, Juhi
Done testing of all the above scenarios and did thorough testing to make sure the feature is working as expected.
Hence, marking it verified.
Thanks, Juhi
Please fix the following:
Scenario V1:
Scenario V2:
Scenario V3:
Scenario V4:
Scenario V5:
Scenario V6:
Scenario V7:
Scenario V8:
Scenario V9:
Scenario V10:
Scenario V11:
Scenario V12:
Scenario V13:
Scenario V14:
Please fix the following:
Scenario V1:
Scenario V2:
Scenario V3:
Scenario V4:
Scenario V5:
Scenario V6:
Scenario V7:
Scenario V8:
Scenario V9:
Scenario V10:
Scenario V11:
Scenario V12:
Scenario V13:
Scenario V14:
I've confirmed that scenarios V6, V7 and V14 are existing, and thus not in scope for this project. I was trying to test the functionality of discrete measure in Label deck, and was blocked by V6. However we can test it using Shape chart, which does not exhibit the "Computing Visualization" issue.
Scenario T1:
Scenario T2:
Scenario T3:
11/28 10:39:45.304 StudioLogger.error 1 >= 1 java.lang.ArrayIndexOutOfBoundsException: 1 >= 1 at java.util.Vector.elementAt(Vector.java:477) at javax.swing.table.DefaultTableColumnModel.getColumn(DefaultTableColumnModel.java:294) at sun.swing.SwingUtilities2.convertColumnIndexToModel(SwingUtilities2.java:1988) at javax.swing.JTable.convertColumnIndexToModel(JTable.java:2582) at javax.swing.JTable.getValueAt(JTable.java:2718) at com.jidesoft.grid.JideTable.getValueAt(Unknown Source) at com.jidesoft.grid.CellSpanTable.getValueAt(Unknown Source) at com.aquafold.bistudio.pivottable.HeaderTable.getStringValueAt(HeaderTable.java:173) at com.aquafold.bistudio.pivottable.RowHeaderTable.getStringValueAt(RowHeaderTable.java:62)
Scenario T4:
Scenario T5:
Scenario T6:
Scenario T7:
Scenario T8:
java.lang.IndexOutOfBoundsException: Index: 0, Size: 0 at java.util.ArrayList.rangeCheck(ArrayList.java:657) at java.util.ArrayList.get(ArrayList.java:433) at com.aquafold.bistudio.model.BIChartConfigAPI.createNodeTree(BIChartConfigAPI.java:942) at com.aquafold.bistudio.model.BIChartConfigAPI.buildRowTree(BIChartConfigAPI.java:594) at com.aquafold.bistudio.model.BIChartConfigAPI.reconfigure(BIChartConfigAPI.java:533) at com.aquafold.bistudio.model.BIModel.calculateModelImpl(BIModel.java:1241) at com.aquafold.bistudio.model.BIModel.access$200(BIModel.java:168) at com.aquafold.bistudio.model.BIModel$2.process(BIModel.java:882) at com.aquafold.bistudio.component.BISimpleProgressDialog.run(BISimpleProgressDialog.java:96)
I've confirmed that scenarios V6, V7 and V14 are existing, and thus not in scope for this project. I was trying to test the functionality of discrete measure in Label deck, and was blocked by V6. However we can test it using Shape chart, which does not exhibit the "Computing Visualization" issue.
Scenario T1:
Scenario T2:
Scenario T3:
11/28 10:39:45.304 StudioLogger.error 1 >= 1 java.lang.ArrayIndexOutOfBoundsException: 1 >= 1 at java.util.Vector.elementAt(Vector.java:477) at javax.swing.table.DefaultTableColumnModel.getColumn(DefaultTableColumnModel.java:294) at sun.swing.SwingUtilities2.convertColumnIndexToModel(SwingUtilities2.java:1988) at javax.swing.JTable.convertColumnIndexToModel(JTable.java:2582) at javax.swing.JTable.getValueAt(JTable.java:2718) at com.jidesoft.grid.JideTable.getValueAt(Unknown Source) at com.jidesoft.grid.CellSpanTable.getValueAt(Unknown Source) at com.aquafold.bistudio.pivottable.HeaderTable.getStringValueAt(HeaderTable.java:173) at com.aquafold.bistudio.pivottable.RowHeaderTable.getStringValueAt(RowHeaderTable.java:62)
Scenario T4:
Scenario T5:
Scenario T6:
Scenario T7:
Scenario T8:
java.lang.IndexOutOfBoundsException: Index: 0, Size: 0 at java.util.ArrayList.rangeCheck(ArrayList.java:657) at java.util.ArrayList.get(ArrayList.java:433) at com.aquafold.bistudio.model.BIChartConfigAPI.createNodeTree(BIChartConfigAPI.java:942) at com.aquafold.bistudio.model.BIChartConfigAPI.buildRowTree(BIChartConfigAPI.java:594) at com.aquafold.bistudio.model.BIChartConfigAPI.reconfigure(BIChartConfigAPI.java:533) at com.aquafold.bistudio.model.BIModel.calculateModelImpl(BIModel.java:1241) at com.aquafold.bistudio.model.BIModel.access$200(BIModel.java:168) at com.aquafold.bistudio.model.BIModel$2.process(BIModel.java:882) at com.aquafold.bistudio.component.BISimpleProgressDialog.run(BISimpleProgressDialog.java:96)
I've attached fix-T-series.patch, which addresses T3 and T8. Please review and test it. If you don't find anything wrong and it doesn't cause new breakages, then you may check it in.
I've attached fix-T-series.patch, which addresses T3 and T8. Please review and test it. If you don't find anything wrong and it doesn't cause new breakages, then you may check it in.
Scenario R1:
I've attached fix-R1.patch which address the above R1 test scenario. Please review and test the patch. If you don't see any problems with it, then you may check it in.
The following scenarios are broken:
Scenario R2:
Scenario R4:
Scenario R5:
Scenario R6:
Scenario R1:
I've attached fix-R1.patch which address the above R1 test scenario. Please review and test the patch. If you don't see any problems with it, then you may check it in.
The following scenarios are broken:
Scenario R2:
Scenario R4:
Scenario R5:
Scenario R6:
<visualanalytics:#15442> Fixed the scenarios R1, R4, R5(excluding chart sorting) and R6
<visualanalytics:#15442> Fixed the scenarios R1, R4, R5(excluding chart sorting) and R6
The product is looking better!
The following is the current outstanding issues. Please work on the critical issues first, which is the ones labeled as (high), then the (low) ones if you have time. We'll check with PM to make a determination on whether we can defer the (low) ones:
Issue 1 (low):
Issue 2 (low): (this is previously Scenario R2)
I've split the previous Scenario R5 into 2 parts, a low and high priority part:
Issue 3 (low):
Issue 4 (high):
Issue 5 (high):
The product is looking better!
The following is the current outstanding issues. Please work on the critical issues first, which is the ones labeled as (high), then the (low) ones if you have time. We'll check with PM to make a determination on whether we can defer the (low) ones:
Issue 1 (low):
Issue 2 (low): (this is previously Scenario R2)
I've split the previous Scenario R5 into 2 parts, a low and high priority part:
Issue 3 (low):
Issue 4 (high):
Issue 5 (high):
Hi,
The high priority issues i.e. issue #4 and issue #5, reported above are fixed and the code is committed.
The revision details are below:
Hi,
The high priority issues i.e. issue #4 and issue #5, reported above are fixed and the code is committed.
The revision details are below:
Dev-80
Please fix the (high) priority issues only. We'll create new separate issues for the (low) priority issues for next release.
Issue 80-1 (high -- this is a slight variation of Issue 5 above):
Issue 80-2 (high -- also related Issue 5 above):
java.lang.ArrayIndexOutOfBoundsException: -1 at java.util.ArrayList.elementData(ArrayList.java:422) at java.util.ArrayList.get(ArrayList.java:435) at com.aquafold.bistudio.model.BIRowHeaderTableModel.getValuesAt(BIRowHeaderTableModel.java:727) at com.aquafold.bistudio.model.BIModel.syncSortByValueIndex(BIModel.java:2272) at com.aquafold.bistudio.model.BIModel.syncSortByValueIndices(BIModel.java:1891) at com.aquafold.bistudio.model.BIModel.applyFieldSortInternal(BIModel.java:1880) at com.aquafold.bistudio.model.BIModel.internalResetDefaultSort(BIModel.java:2231) at com.aquafold.bistudio.model.BIModel.applySortByRowColumn(BIModel.java:2146) at com.aquafold.bistudio.model.BIModel.applySortByRowColumn(BIModel.java:1993) at com.aquafold.bistudio.model.BIModel.calculateModelImpl(BIModel.java:1240) at com.aquafold.bistudio.model.BIModel.access$200(BIModel.java:168) at com.aquafold.bistudio.model.BIModel$2.process(BIModel.java:882) at com.aquafold.bistudio.component.BISimpleProgressDialog.run(BISimpleProgressDialog.java:96)
Issue 80-3 (low)
Issue 80-3 (low -- this is the first sub-bullet of item #4 in the main issue discription, and also in the PRD)
The following are copied from the previous issue list:
Issue 1 (low):
Issue 2 (low): (this is previously Scenario R2)
Issue 3 (low):
Dev-80
Please fix the (high) priority issues only. We'll create new separate issues for the (low) priority issues for next release.
Issue 80-1 (high -- this is a slight variation of Issue 5 above):
Issue 80-2 (high -- also related Issue 5 above):
java.lang.ArrayIndexOutOfBoundsException: -1 at java.util.ArrayList.elementData(ArrayList.java:422) at java.util.ArrayList.get(ArrayList.java:435) at com.aquafold.bistudio.model.BIRowHeaderTableModel.getValuesAt(BIRowHeaderTableModel.java:727) at com.aquafold.bistudio.model.BIModel.syncSortByValueIndex(BIModel.java:2272) at com.aquafold.bistudio.model.BIModel.syncSortByValueIndices(BIModel.java:1891) at com.aquafold.bistudio.model.BIModel.applyFieldSortInternal(BIModel.java:1880) at com.aquafold.bistudio.model.BIModel.internalResetDefaultSort(BIModel.java:2231) at com.aquafold.bistudio.model.BIModel.applySortByRowColumn(BIModel.java:2146) at com.aquafold.bistudio.model.BIModel.applySortByRowColumn(BIModel.java:1993) at com.aquafold.bistudio.model.BIModel.calculateModelImpl(BIModel.java:1240) at com.aquafold.bistudio.model.BIModel.access$200(BIModel.java:168) at com.aquafold.bistudio.model.BIModel$2.process(BIModel.java:882) at com.aquafold.bistudio.component.BISimpleProgressDialog.run(BISimpleProgressDialog.java:96)
Issue 80-3 (low)
Issue 80-3 (low -- this is the first sub-bullet of item #4 in the main issue discription, and also in the PRD)
The following are copied from the previous issue list:
Issue 1 (low):
Issue 2 (low): (this is previously Scenario R2)
Issue 3 (low):
Issues 80-1 and 80-2 are fixed and the revision details are given below:
Revision: 56356
Date: Tuesday, December 4, 2018 6:02:46 PM
Message:
<visualanalytics:#15442> Fixed high priority scenarios 80-1 and 80-2
Issues 80-1 and 80-2 are fixed and the revision details are given below:
Revision: 56356
Date: Tuesday, December 4, 2018 6:02:46 PM
Message:
<visualanalytics:#15442> Fixed high priority scenarios 80-1 and 80-2
Dev-81
Issue 81-1 (high)
Issue 81-2 (high -- related to Issue 5 in another comment)
Issue 81-3 (high -- this may be related to 81-2. Fixing 81-2 may also fix 81-3)
java.lang.ArithmeticException: / by zero at com.aquafold.bistudio.model.BIRowHeaderTableModel.getValuesAt(BIRowHeaderTableModel.java:725) at com.aquafold.bistudio.model.BIModel.syncSortByValueIndex(BIModel.java:2272) at com.aquafold.bistudio.model.BIModel.syncSortByValueIndices(BIModel.java:1891) at com.aquafold.bistudio.model.BIModel.applyFieldSortInternal(BIModel.java:1880) at com.aquafold.bistudio.model.BIModel.internalResetDefaultSort(BIModel.java:2231) at com.aquafold.bistudio.model.BIModel.applySortByRowColumn(BIModel.java:2146) at com.aquafold.bistudio.model.BIModel.applySortByRowColumn(BIModel.java:1993) at com.aquafold.bistudio.model.BIModel.calculateModelImpl(BIModel.java:1240) at com.aquafold.bistudio.model.BIModel.access$200(BIModel.java:168) at com.aquafold.bistudio.model.BIModel$2.process(BIModel.java:882) at com.aquafold.bistudio.component.BISimpleProgressDialog.run(BISimpleProgressDialog.java:96)
Issue 81-4 (low)
Issue 81-5 (low)
Dev-81
Issue 81-1 (high)
Issue 81-2 (high -- related to Issue 5 in another comment)
Issue 81-3 (high -- this may be related to 81-2. Fixing 81-2 may also fix 81-3)
java.lang.ArithmeticException: / by zero at com.aquafold.bistudio.model.BIRowHeaderTableModel.getValuesAt(BIRowHeaderTableModel.java:725) at com.aquafold.bistudio.model.BIModel.syncSortByValueIndex(BIModel.java:2272) at com.aquafold.bistudio.model.BIModel.syncSortByValueIndices(BIModel.java:1891) at com.aquafold.bistudio.model.BIModel.applyFieldSortInternal(BIModel.java:1880) at com.aquafold.bistudio.model.BIModel.internalResetDefaultSort(BIModel.java:2231) at com.aquafold.bistudio.model.BIModel.applySortByRowColumn(BIModel.java:2146) at com.aquafold.bistudio.model.BIModel.applySortByRowColumn(BIModel.java:1993) at com.aquafold.bistudio.model.BIModel.calculateModelImpl(BIModel.java:1240) at com.aquafold.bistudio.model.BIModel.access$200(BIModel.java:168) at com.aquafold.bistudio.model.BIModel$2.process(BIModel.java:882) at com.aquafold.bistudio.component.BISimpleProgressDialog.run(BISimpleProgressDialog.java:96)
Issue 81-4 (low)
Issue 81-5 (low)
<visualanalytics:#15442> Fixed high priority scenarios 81-1, 81-2 and 81-3
Changes:
1. Fixed high priority scenarios 81-1, 81-2 and 81-3
At revision: 56359
<visualanalytics:#15442> Fixed high priority scenarios 81-1, 81-2 and 81-3
Changes:
1. Fixed high priority scenarios 81-1, 81-2 and 81-3
At revision: 56359
Dev-82
Issue 82-1 (high -- regression on sorting and highlighting)
Issue 82-2 (high) -- I am unable to verify Issue 81-3 because of Issue 82-1regression, which is caused by the Dev-82 build. For example I am not able to perform step 6 of Issue 81-3 in build Dev-82.
Dev-82
Issue 82-1 (high -- regression on sorting and highlighting)
Issue 82-2 (high) -- I am unable to verify Issue 81-3 because of Issue 82-1regression, which is caused by the Dev-82 build. For example I am not able to perform step 6 of Issue 81-3 in build Dev-82.
Issue 82-1 (high -- regression on sorting and highlighting) till #5, is fixed. The other issues related to charts sorting and highlighting are not fixed because of the problem we described in R5 charts sorting and R2. Please refer that section.
.Changes:
At revision: 56361
Issue 82-1 (high -- regression on sorting and highlighting) till #5, is fixed. The other issues related to charts sorting and highlighting are not fixed because of the problem we described in R5 charts sorting and R2. Please refer that section.
.Changes:
At revision: 56361
Dev-83
Issue 83-1 (low -- carried over from 82-1 since only the result in step 5 of 82-1 was fixed. Also this is different from R5 in another comment, where there was an easy work-around for the user. The work-around for 83-1 involves more steps that the user needs to perform.)
Issue 83-2 (high)
Dev-83
Issue 83-1 (low -- carried over from 82-1 since only the result in step 5 of 82-1 was fixed. Also this is different from R5 in another comment, where there was an easy work-around for the user. The work-around for 83-1 involves more steps that the user needs to perform.)
Issue 83-2 (high)
Dev-84
Issue 84-1 (low -- carried over from the unfixed parts of 83-2)
Issue 84-2 (high -- this is a regression of an existing feature)
Dev-84
Issue 84-1 (low -- carried over from the unfixed parts of 83-2)
Issue 84-2 (high -- this is a regression of an existing feature)
Dev-85
Issue 85-1 (high)
Dev-85
Issue 85-1 (high)
Please see Link below for Demo of Video High Priority 85-1
https://drive.google.com/file/d/1kZ9bsYO-0VgnIyI_Yt8bEd8eU9OmPSb0/view?usp=sharing
Please see Link below for Demo of Video High Priority 85-1
https://drive.google.com/file/d/1kZ9bsYO-0VgnIyI_Yt8bEd8eU9OmPSb0/view?usp=sharing
Hi Nhi,
I checked-in the fix of Issue 85-1 in below mentioned revision. All existing scenarios are working fine.
Hi Nhi,
I checked-in the fix of Issue 85-1 in below mentioned revision. All existing scenarios are working fine.
Verified all the above scenarios and its working fine.
Hence, marking it verified.
Verified all the above scenarios and its working fine.
Hence, marking it verified.
Issue #15442 |
| Verified |
| Fixed |
| Resolved |
Completion |
| No due date |
| Fixed Build ads-windows-x64-19.5.0-dev-86 |
| No time estimate |
15 issue links |
relates to #15659
Issue #15659Can't select discrete measure header cell |
relates to #15663
Issue #15663Visualization feature should convert discrete measures to continuous first |
relates to #15661
Issue #15661No sort icon in discrete measure header cell |
is required by #15246
Issue #15246Investigate row # support in charts w/o having to use a table calculation |
relates to #15666
Issue #15666No sort icon and highlighting in header cells after discrete measure field |
relates to #15667
Issue #15667GBP row contains 2 measure axes |
relates to #15662
Issue #15662Sort icon lost after Keep Only and Undo |
relates to #15660
Issue #15660Can't resize discrete measure row header column |
relates to #15664
Issue #15664Can't sort color field By Measure Values when discrete measure field is present |
is required by #15376
Issue #15376Support Custom Colors for varying range of values |
relates to #15665
Issue #15665Measure Names color field is not removed |
breaks #15695
Issue #15695Broken basic chart sorting |
breaks #15697
Issue #15697Broken basic discrete colors |
breaks #15702
Issue #15702Rewrite of Discrete Measure Field |
breaks #15694
Issue #15694Broken basic chart highlighting |